موقع “لوبيينغ آل مونيتور” : بهدف دعمه من ترامب وبوتين.. نبيل القروي دفع مليون دولار لشركة يديرها إسرائيلي!

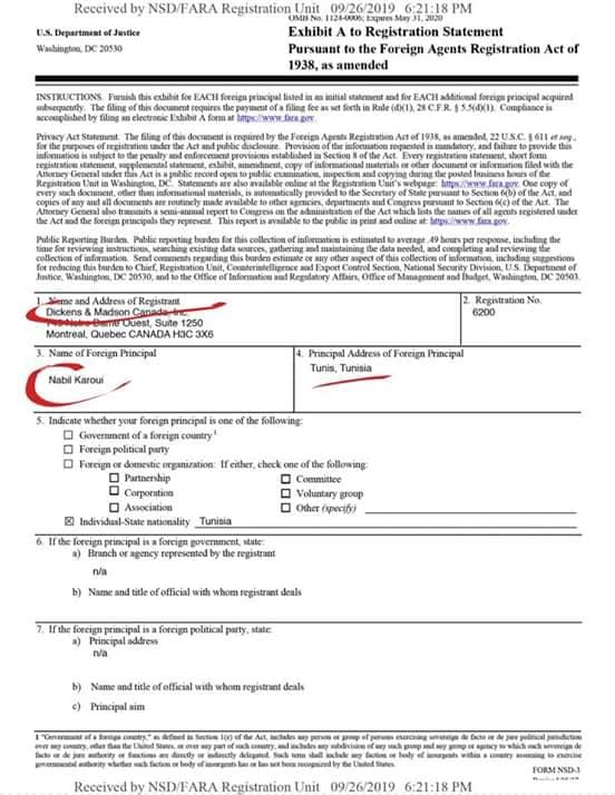
أفاد موقع “لوبيينغ آل مونيتور”، المختصّ في كشف أنشطة جماعات الضغط، أن مرشح “قلب تونس” نبيل القروي للانتخابات الرئاسية، الموقوف حاليًا على ذمة قضية تهرب ضريبي، أبرم عقدًا بقيمة مليون دولار مع شركة “دينكنز أند مادسون” (Dickens and Madson) مقرّها في كندا ويديرها إسرائيلي عمل في الاستخبارات الصهيونية، وذلك من أجل الضغط على الولايات المتحدة وروسيا والاتحاد الأوروبي والأمم المتحدة بهدف “الحصول على رئاسة الجمهورية التونسية”.
واُبرم هذا العقد بتاريخ 19 أوت 2019، ومسجّل لدى وزارة العدل الأمريكية هذا الأسبوع، وفق الموقع.
وقالت الشركة المعنية إن نبيل القروي دفع 250 ألف دولار بحلول 25 سبتمبر ، فيما وعد بدفع 750 ألف دولار بحلول منتصف أكتوبر.
ويتضمن العقد “سعي” مدير شركة “دينكنز أند مادسون” ويُدعى آري بن ميناشي لترتيب لقاءات مع الرئيس الأمريكي دونالد ترامب ومسؤولين أمريكيين كبار آخرين. كما يتضمن العقد أن تعمل الشركة من أجل الحصول على “دعم مادي للدفع من أجل رئاسة الجمهورية” من طرف الرئيس الروسي فلاديمير بوتين.
وبن ميناشي، وفق “آل مونيتور”، هو عميل استخباراتي إسرائيلي وتاجر أسلحة، كان يمثل سبقًا مجلس النواب الليبي المتمركز في طبرق والرجل الليبي القوي خليفة حفتر.
وفي وقت سابق من هذا العام، طلبت الحكومة الكندية من الشركة التحقيق مع بن ميناشي من أجل إبرامه عقدًا بقيمة 6 مليون دولار مع الحكومة العسكرية الانتقالية في السودان.
*المصدر| موقع ” الترا تونس”









